スイカの輪切りについて
皮は無視、スイカは球体にて!
実は、スイカを4分の1カットだの6分の1カットだので買ってくることが多くて、
それを家族3人で切り分ける際、本来は櫛切り、つまり、
- 4分の1カットだったら90度のものを、30度ずつ切り分け、
- 6分の1カットだったら60度のものを、20度ずつ切り分け、
が甘みも分散されて正しい切り方な訳ですが、難しいものですから、スイカを横にして垂直に切っていく様になりがちなのです。そこで、あの曲面を具備する立体を正しく3等分するには、どのような配率で切ったら良いのだろうか、と、ずぅぅっと長年気になっていた訳です(笑)。
今回、どうせ夏だし、暑くて頭回んないし、積分で体積求めて大真面目に計算してみましたよ、というご報告でございます。

先ず、スイカ4分の1カットでも6分の1カットでも比率は球体を水平に切り分けるのと同じになる筈なので、上記の様に座標上にスイカを配置したつもりになりまして…。
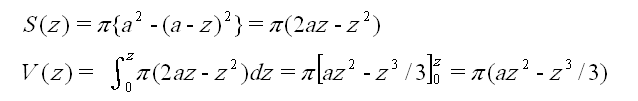
- 赤い切り口の面積をSとしてzの関数として書き表します。
- 緑色の球体の切れ端の体積VはS(z)を、zについて0→zまで積分してあげることによって求まります。

この式が本当に正しいか、z=2aを代入して、球体の体積になることを確認してみましょう。

問題ないようなので、z=2ayと置いて、球体の切れ端の体積の、球体全体に対する比率を求める式を作ってみます。なぜ、z=2ayと置くかというと、y=1でスイカの直径になるので、切る時の目安にしやすいからです。

この比率の式を、yを横軸に、体積比を縦軸にしてグラフにしたものが下記になります。

結論として、3等分したい時は、左から2:1:2くらいの比率で切ってあげると大体OK。
4等分したい時は・・・普通半分に切った後、包丁を90度回してもう半分にした方が簡単ですわね。
あっそう?っていう感じですね(笑)。
2007.08.18
[HOME][とまて週報TOP]